13. Line Plots

L4 131 Line Plots V1


Data Vis L4 C13 V1


Line Plots

The line plot is a fairly common plot type that is used to plot the trend of one numeric variable against values of a second variable. In contrast to a scatterplot, where all data points are plotted, in a line plot, only one point is plotted for every unique x-value or bin of x-values (like a histogram). If there are multiple observations in an x-bin, then the y-value of the point plotted in the line plot will be a summary statistic (like mean or median) of the data in the bin. The plotted points are connected with a line that emphasizes the sequential or connected nature of the x-values.

If the x-variable represents time, then a line plot of the data is frequently known as a time series plot. For example, we have only one observation per time period, like in stock or currency charts.

We will make use of Matplotlib's errorbar() function, performing some processing on the data in order to get it into its necessary form.

Let's see some examples below.

Example 1.

plt.errorbar(data=fuel_econ, x='displ', y='comb')
plt.xticks(rotation=15);
plt.ylabel('Avg. Combined Fuel Efficiency (mpg)');

If we just blindly stick a dataframe into the function without considering its structure, we might end up with a mess like the above. The function just plots all the data points as a line, connecting values from the first row of the dataframe to the last row. In order to create the line plot as intended, we need to do additional work to summarize the data.

Example 2.

# Set a number of bins into which the data will be grouped.
# Set bin edges, and compute center of each bin 
bin_edges = np.arange(0.6, 7+0.2, 0.2)
bin_centers = xbin_edges[:-1] + 0.1

# Cut the bin values into discrete intervals. Returns a Series object.
displ_binned = pd.cut(fuel_econ['displ'], bin_edges, include_lowest = True)
displ_binned

A series object returned when the `fuel_econ['displ']` column passed to the `pandas.cut()` function

A series object returned when the fuel_econ['displ'] column passed to the pandas.cut() function

# For the points in each bin, we compute the mean and standard error of the mean.
comb_mean = fuel_econ['comb'].groupby(displ_binned).mean()
comb_std = fuel_econ['comb'].groupby(displ_binned).std()

# Plot the summarized data
plt.errorbar(x=bin_centers, y=comb_mean, yerr=comb_std)
plt.xticks(rotation=15);
plt.ylabel('Avg. Combined Fuel Efficiency (mpg)');

Since the x-variable ('displ') is continuous, we first set a number of bins into which the data will be grouped. In addition to the usual edges, the center of each bin is also computed for later plotting. For the points in each bin, we compute the mean and standard error of the mean.

Documentation: Refer to the cut() function syntax.

Alternate Variations

Note about the DataFrame object used in the examples below
The visualizations below are based on a synthetic dataframe object df, and show the plots based on its numeric (quantitative) variables, num_var1, num_var2, and a categorical (qualitative) variable, cat_var. The new dataframe has been chosen to reflect the additional relationship between the selected variables.

Instead of computing summary statistics on fixed bins, you can also make computations on a rolling window through use of pandas' rolling method. Since the rolling window will make computations on sequential rows of the dataframe, we should use sort_values to put the x-values in ascending order first.

Example 3.

# compute statistics in a rolling window
df_window = df.sort_values('num_var1').rolling(15)
x_winmean = df_window.mean()['num_var1']
y_median = df_window.median()['num_var2']
y_q1 = df_window.quantile(.25)['num_var2']
y_q3 = df_window.quantile(.75)['num_var2']

# plot the summarized data
base_color = sb.color_palette()[0]
line_color = sb.color_palette('dark')[0]
plt.scatter(data = df, x = 'num_var1', y = 'num_var2')
plt.errorbar(x = x_winmean, y = y_median, c = line_color)
plt.errorbar(x = x_winmean, y = y_q1, c = line_color, linestyle = '--')
plt.errorbar(x = x_winmean, y = y_q3, c = line_color, linestyle = '--')

plt.xlabel('num_var1')
plt.ylabel('num_var2')

Note that we're also not limited to just one line when plotting. When multiple Matplotlib functions are called one after the other, all of them will be plotted on the same axes. Instead of plotting the mean and error bars, we will plot the three central quartiles, laid on top of the scatterplot.

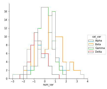
Another bivariate application of line plots is to plot the distribution of a numeric variable for different levels of a categorical variable. This is another alternative to using violin plots, box plots, and faceted histograms. With the line plot, one line is plotted for each category level, like overlapping the histograms on top of one another. This can be accomplished through multiple errorbar calls using the methods above, or by performing multiple hist calls, setting the "histtype = step" parameter so that the bars are depicted as unfilled lines.

Example 4.

bin_edges = np.arange(-3, df['num_var'].max()+1/3, 1/3)
g = sb.FacetGrid(data = df, hue = 'cat_var', size = 5)
g.map(plt.hist, "num_var", bins = bin_edges, histtype = 'step')
g.add_legend()

Note that I'm performing the multiple hist calls through the use of FacetGrid, setting the categorical variable on the "hue" parameter rather than the "col" parameter. You'll see more of this parameter of FacetGrid in the next lesson. I've also added an add_legend method call so that we can identify which level is associated with each curve.

Unfortunately, the "Alpha" curve seems to be pretty lost behind the other three curves since the relatively low number of counts is causing a lot of overlap. Perhaps connecting the centers of the bars with a line, like what was seen in the first errorbar example, would be better.

Functions you provide to the map method of FacetGrid objects do not need to be built-ins. Below, I've written a function to perform the summarization operations seen above to plot an errorbar line for each level of the categorical variable, then fed that function (freq_poly) to map.

Example 5.

def freq_poly(x, bins = 10, **kwargs):
    """ Custom frequency polygon / line plot code. """
    # set bin edges if none or int specified
    if type(bins) == int:
        bins = np.linspace(x.min(), x.max(), bins+1)
    bin_centers = (bin_edges[1:] + bin_edges[:-1]) / 2

    # compute counts
    data_bins = pd.cut(x, bins, right = False,
                       include_lowest = True)
    counts = x.groupby(data_bins).count()

    # create plot
    plt.errorbar(x = bin_centers, y = counts, **kwargs)

bin_edges = np.arange(-3, df['num_var'].max()+1/3, 1/3)
g = sb.FacetGrid(data = df, hue = 'cat_var', size = 5)
g.map(freq_poly, "num_var", bins = bin_edges)
g.add_legend()

**kwargs is used to allow additional keyword arguments to be set for the errorbar function.

(Documentation: numpy linspace)